重磅!四川省2024年普通高校招生艺术体育类本科批调档线出炉
日期:2024/7/19 18:27:43 | 来源:快乐彩18新利
分享到:
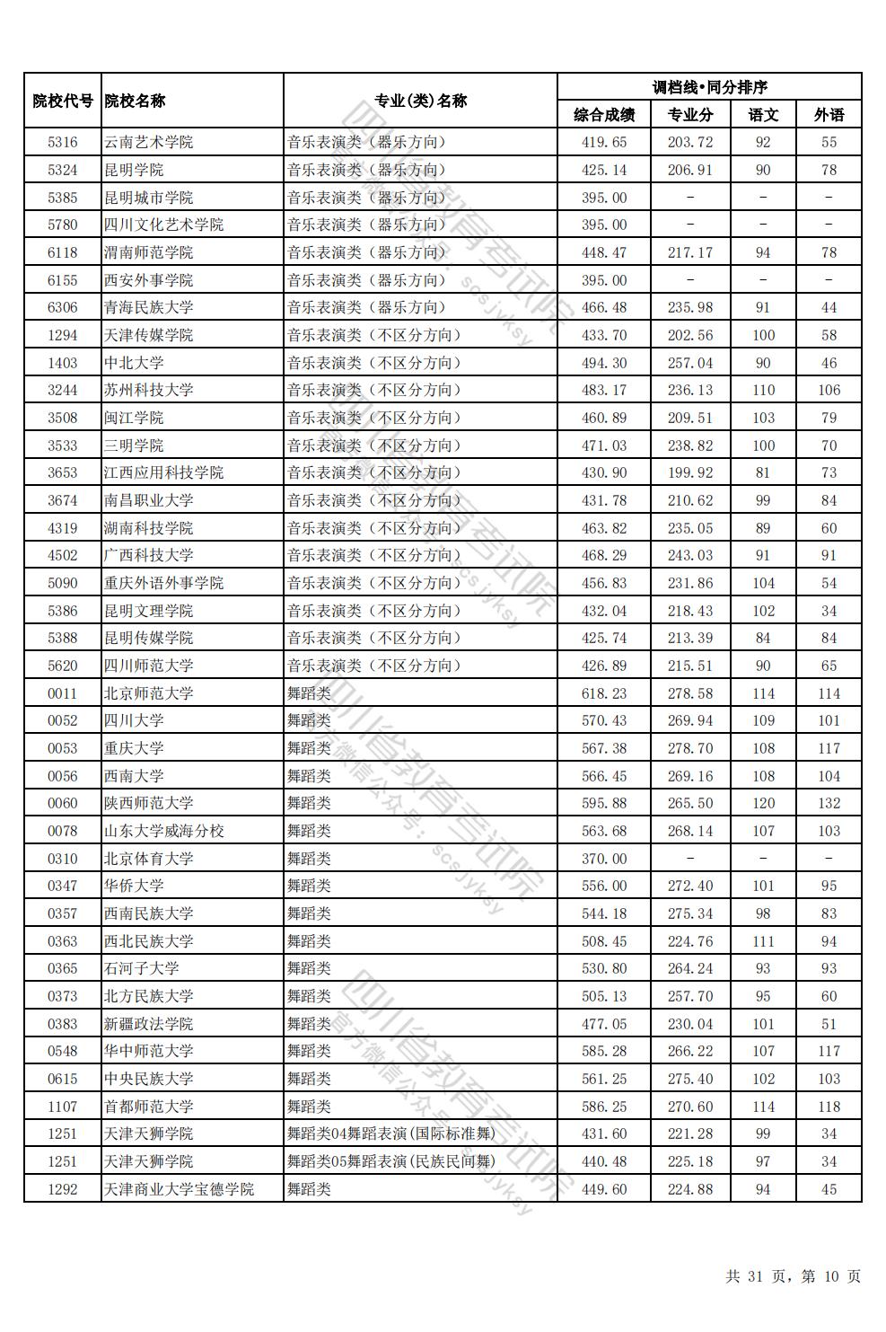
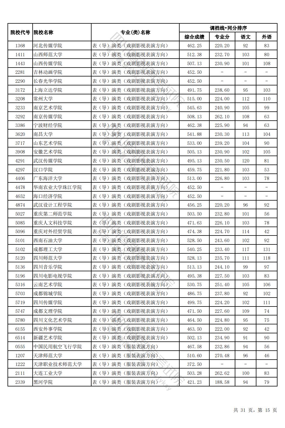
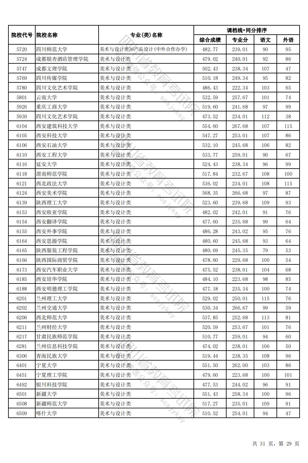
我省2024年普通高校招生艺术体育类本科批已于7月19日开始录取。为方便广大考生和家长及时获悉录取信息,省教育考试院按艺术类(理科、文科、对口招生),以及体育类发布调档线。
在此,要提醒大家的是,一些机构和个别媒体在网络上传播的部分院校在川招生艺术体育类本科批调档线均不是我院官方发布,请大家务必当心,以我院官方发布的院校调档线为准。
















































关注招考